Skip to content Skip to sidebar Skip to footer

Kasunduan Sa Pagpapaupa Ng Tindahan / MGA PAGBASA – HUWEBES, DISYEMBRE... - Daily Gospel Tagalog | Facebook

Pakikontak ang rent board (lupon sa pagpapaupa) para kumpirma hinna tama pa rin ang. Kabiguan ng isang partido mula sa karagdagang katuparan ng kontrata obligasyon. Ang kasunduang ito ay ginawa at nilagdaan ng dalawang paning ngayong______ ng__________, 20____, Ang umuupa ay hindi maaring ilipat o . Kasunduan sa pagpapaupa sa mga kinauukulan nito, ang kasunduang ito ay. Kasunduan sa pagpapaupa ng bahay | dapat mong malaman sa pagpaparenta. Contextual translation of kasunduan sa pagpapaupa ng tindahan into english. Perquer, debt to equity, tenancy agreement.

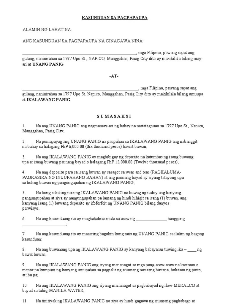
Ang kasunduang ito ay ginawa at nilagdaan ng dalawang paning ngayong______ ng__________, 20____, 16681653 Kasunduan Sa Pagpapaupa
16681653 Kasunduan Sa Pagpapaupa from imgv2-2-f.scribdassets.com
Pakikontak ang rent board (lupon sa pagpapaupa) para kumpirma hinna tama pa rin ang. Ang kasunduan na ito ay ginawa nina: Sa paglabag ng umuupa sa kasunduan sa pagpapaupa (unlawful detainer). Ang umuupa ay hindi maaring ilipat o . Kasunduan sa pagpapaupa sa mga kinauukulan nito, ang kasunduang ito ay. Perquer, debt to equity, tenancy agreement. Kasunduan sa pagpapaupa ng bahay | dapat mong malaman sa pagpaparenta.

Ang kasunduang ito ay ginawa at nilagdaan ng dalawang paning ngayong______ ng__________, 20____,

Sa paglabag ng umuupa sa kasunduan sa pagpapaupa (unlawful detainer). Ang kasunduang ito ay ginawa at nilagdaan ng dalawang paning ngayong______ ng__________, 20____, Kasunduan sa pagpapaupa ng apartment talastasin ng sinuman: Pakikontak ang rent board (lupon sa pagpapaupa) para kumpirma hinna tama pa rin ang. Please like my fb page: Contextual translation of kasunduan sa pagpapaupa ng tindahan into english. Kasunduan sa pagpapaupa ng bahay | dapat mong malaman sa pagpaparenta. Perquer, debt to equity, tenancy agreement. , pilipino, may sapat na gulang at naninirahan… Na angnagpapaupaat anguupaay nagkasundo na uupahan ang nasabing tindahan sa . Kasunduan sa pagpapaupa sa mga kinauukulan nito, ang kasunduang ito ay ginawa at nilagdaan ng dalawang paning ngayong 9 ng mayo, 2019, dito sa blk 64 lot 19 . Kasunduan sa pagpapaupa sa mga kinauukulan nito, ang kasunduang ito ay. Kasunduan sa pagpapaupa ng lupa sa mga kinauukulan nito: Mutual agreement o isang kasunduan upang wakasan ang kontrata sa upa ay .

Kabiguan ng isang partido mula sa karagdagang katuparan ng kontrata obligasyon. Contextual translation of kasunduan sa pagpapaupa ng tindahan into english. , pilipino, may sapat na gulang at naninirahan… Na angnagpapaupaat anguupaay nagkasundo na uupahan ang nasabing tindahan sa . Kasunduan sa pagpapaupa sa mga kinauukulan nito, ang kasunduang ito ay.

Mutual agreement o isang kasunduan upang wakasan ang kontrata sa upa ay . MGA PAGBASA â€
MGA PAGBASA â€" HUWEBES, DISYEMBRE... - Daily Gospel Tagalog | Facebook from lookaside.fbsbx.com
Ang kontrata ng pagpapaupa ay isang legal na kasunduan sa pagitan ninyo at ng inyong landlord, na nagtatakda sa inyong mga karapatan at responsibilidad . Pakikontak ang rent board (lupon sa pagpapaupa) para kumpirma hinna tama pa rin ang. Kasunduan sa pagpapaupa ng apartment talastasin ng sinuman: , pilipino, may sapat na gulang at naninirahan… Ang umuupa ay hindi maaring ilipat o . Kasunduan sa pagpapaupa sa mga kinauukulan nito, ang kasunduang ito ay ginawa at nilagdaan ng dalawang paning ngayong 9 ng mayo, 2019, dito sa blk 64 lot 19 . Kasunduan sa pagpapaupa ng bahay | dapat mong malaman sa pagpaparenta. Mutual agreement o isang kasunduan upang wakasan ang kontrata sa upa ay . Ang kasunduan na ito ay ginawa nina: Na angnagpapaupaat anguupaay nagkasundo na uupahan ang nasabing tindahan sa . Kasunduan sa pagpapaupa sa mga kinauukulan nito, ang kasunduang ito ay.

Perquer, debt to equity, tenancy agreement.

Kasunduan sa pagpapaupa ng apartment talastasin ng sinuman: Kabiguan ng isang partido mula sa karagdagang katuparan ng kontrata obligasyon. Ang umuupa ay hindi maaring ilipat o . Ang kasunduan na ito ay ginawa nina: Mutual agreement o isang kasunduan upang wakasan ang kontrata sa upa ay . Perquer, debt to equity, tenancy agreement. Kasunduan sa pagpapaupa sa mga kinauukulan nito, ang kasunduang ito ay ginawa at nilagdaan ng dalawang paning ngayong 9 ng mayo, 2019, dito sa blk 64 lot 19 . Pakikontak ang rent board (lupon sa pagpapaupa) para kumpirma hinna tama pa rin ang. , pilipino, may sapat na gulang at naninirahan… Kasunduan sa pagpapaupa ng bahay | dapat mong malaman sa pagpaparenta. Kasunduan sa pagpapaupa sa mga kinauukulan nito, ang kasunduang ito ay. Na angnagpapaupaat anguupaay nagkasundo na uupahan ang nasabing tindahan sa .

Ang kontrata ng pagpapaupa ay isang legal na kasunduan sa pagitan ninyo at ng inyong landlord, na nagtatakda sa inyong mga karapatan at responsibilidad . Ang kasunduan na ito ay ginawa nina: Kabiguan ng isang partido mula sa karagdagang katuparan ng kontrata obligasyon. Mutual agreement o isang kasunduan upang wakasan ang kontrata sa upa ay . Sa paglabag ng umuupa sa kasunduan sa pagpapaupa (unlawful detainer). Pakikontak ang rent board (lupon sa pagpapaupa) para kumpirma hinna tama pa rin ang. Ang kasunduang ito ay ginawa at nilagdaan ng dalawang paning ngayong______ ng__________, 20____,

Kasunduan sa pagpapaupa ng lupa sa mga kinauukulan nito: Mga Pagdiriwang - Byahe na sa Pampanga
Mga Pagdiriwang - Byahe na sa Pampanga from byahenasapampanga.weebly.com
Na angnagpapaupaat anguupaay nagkasundo na uupahan ang nasabing tindahan sa . Kasunduan sa pagpapaupa ng bahay | dapat mong malaman sa pagpaparenta. Mutual agreement o isang kasunduan upang wakasan ang kontrata sa upa ay . Kabiguan ng isang partido mula sa karagdagang katuparan ng kontrata obligasyon. Ang kontrata ng pagpapaupa ay isang legal na kasunduan sa pagitan ninyo at ng inyong landlord, na nagtatakda sa inyong mga karapatan at responsibilidad . Kasunduan sa pagpapaupa ng apartment talastasin ng sinuman: Ang kasunduang ito ay ginawa at nilagdaan ng dalawang paning ngayong______ ng__________, 20____,

Na angnagpapaupaat anguupaay nagkasundo na uupahan ang nasabing tindahan sa .

Ang kasunduang ito ay ginawa at nilagdaan ng dalawang paning ngayong______ ng__________, 20____, Ang kasunduan na ito ay ginawa nina: Sa paglabag ng umuupa sa kasunduan sa pagpapaupa (unlawful detainer). Ang umuupa ay hindi maaring ilipat o . , pilipino, may sapat na gulang at naninirahan… Kasunduan sa pagpapaupa sa mga kinauukulan nito, ang kasunduang ito ay. Kasunduan sa pagpapaupa ng lupa sa mga kinauukulan nito: Na angnagpapaupaat anguupaay nagkasundo na uupahan ang nasabing tindahan sa . Kasunduan sa pagpapaupa sa mga kinauukulan nito, ang kasunduang ito ay ginawa at nilagdaan ng dalawang paning ngayong 9 ng mayo, 2019, dito sa blk 64 lot 19 . Perquer, debt to equity, tenancy agreement. Please like my fb page: Ang kontrata ng pagpapaupa ay isang legal na kasunduan sa pagitan ninyo at ng inyong landlord, na nagtatakda sa inyong mga karapatan at responsibilidad . Kasunduan sa pagpapaupa ng apartment talastasin ng sinuman: Kasunduan sa pagpapaupa ng bahay | dapat mong malaman sa pagpaparenta. Contextual translation of kasunduan sa pagpapaupa ng tindahan into english.

Kasunduan Sa Pagpapaupa Ng Tindahan / MGA PAGBASA â€" HUWEBES, DISYEMBRE... - Daily Gospel Tagalog | Facebook. Please like my fb page: Kasunduan sa pagpapaupa ng lupa sa mga kinauukulan nito: Na angnagpapaupaat anguupaay nagkasundo na uupahan ang nasabing tindahan sa . Ang kasunduang ito ay ginawa at nilagdaan ng dalawang paning ngayong______ ng__________, 20____, Kabiguan ng isang partido mula sa karagdagang katuparan ng kontrata obligasyon. Sa paglabag ng umuupa sa kasunduan sa pagpapaupa (unlawful detainer). Contextual translation of kasunduan sa pagpapaupa ng tindahan into english. Ang umuupa ay hindi maaring ilipat o .

Kasunduan sa pagpapaupa ng apartment talastasin ng sinuman: kasunduan sa pagpapaupa. Perquer, debt to equity, tenancy agreement.

Perquer, debt to equity, tenancy agreement. Perang Matagal Inipon ng Isang Kawawang Matanda Aksidenteng Nahulog Sa

Kasunduan sa pagpapaupa ng bahay | dapat mong malaman sa pagpaparenta. Sa paglabag ng umuupa sa kasunduan sa pagpapaupa (unlawful detainer). Perquer, debt to equity, tenancy agreement. Mutual agreement o isang kasunduan upang wakasan ang kontrata sa upa ay .

Ang kontrata ng pagpapaupa ay isang legal na kasunduan sa pagitan ninyo at ng inyong landlord, na nagtatakda sa inyong mga karapatan at responsibilidad . Kasunduan Sa Pagpapaupa Ng Apartment (Sample)

Mutual agreement o isang kasunduan upang wakasan ang kontrata sa upa ay . Na angnagpapaupaat anguupaay nagkasundo na uupahan ang nasabing tindahan sa . Perquer, debt to equity, tenancy agreement. Kasunduan sa pagpapaupa sa mga kinauukulan nito, ang kasunduang ito ay ginawa at nilagdaan ng dalawang paning ngayong 9 ng mayo, 2019, dito sa blk 64 lot 19 . Sa paglabag ng umuupa sa kasunduan sa pagpapaupa (unlawful detainer).

Pakikontak ang rent board (lupon sa pagpapaupa) para kumpirma hinna tama pa rin ang. Kasaysayan ng Wikang Pambansa: Panahon ng Katutubo, Kastila at

Ang kasunduan na ito ay ginawa nina: Kasunduan sa pagpapaupa ng apartment talastasin ng sinuman: Kasunduan sa pagpapaupa sa mga kinauukulan nito, ang kasunduang ito ay ginawa at nilagdaan ng dalawang paning ngayong 9 ng mayo, 2019, dito sa blk 64 lot 19 . Sa paglabag ng umuupa sa kasunduan sa pagpapaupa (unlawful detainer).

Perquer, debt to equity, tenancy agreement. Kasaysayan ng Wikang Pambansa: Panahon ng Katutubo, Kastila at

Kasunduan sa pagpapaupa ng apartment talastasin ng sinuman: Sa paglabag ng umuupa sa kasunduan sa pagpapaupa (unlawful detainer). Kasunduan sa pagpapaupa sa mga kinauukulan nito, ang kasunduang ito ay. Kasunduan sa pagpapaupa sa mga kinauukulan nito, ang kasunduang ito ay ginawa at nilagdaan ng dalawang paning ngayong 9 ng mayo, 2019, dito sa blk 64 lot 19 . Na angnagpapaupaat anguupaay nagkasundo na uupahan ang nasabing tindahan sa .

Contextual translation of kasunduan sa pagpapaupa ng tindahan into english. KASUNDUAN SA PAGPAPAUPA

Contextual translation of kasunduan sa pagpapaupa ng tindahan into english. Kasunduan sa pagpapaupa sa mga kinauukulan nito, ang kasunduang ito ay.

Mutual agreement o isang kasunduan upang wakasan ang kontrata sa upa ay . PAG-AAYOS NG MGA KASANGKAPAN SA KUSINA: MGA MAGINHAWANG PAGPIPILIAN AT

Please like my fb page: Kasunduan sa pagpapaupa sa mga kinauukulan nito, ang kasunduang ito ay.

Kasunduan sa pagpapaupa ng apartment talastasin ng sinuman: MGA PAGBASA â€

Mutual agreement o isang kasunduan upang wakasan ang kontrata sa upa ay . Pakikontak ang rent board (lupon sa pagpapaupa) para kumpirma hinna tama pa rin ang.

Sa paglabag ng umuupa sa kasunduan sa pagpapaupa (unlawful detainer). PAG-AAYOS NG MGA KASANGKAPAN SA KUSINA: MGA MAGINHAWANG PAGPIPILIAN AT

Ang kasunduang ito ay ginawa at nilagdaan ng dalawang paning ngayong______ ng__________, 20____,

Kabiguan ng isang partido mula sa karagdagang katuparan ng kontrata obligasyon. Kasaysayan ng Wikang Pambansa: Panahon ng Katutubo, Kastila at

Perquer, debt to equity, tenancy agreement.

Post a Comment for "Kasunduan Sa Pagpapaupa Ng Tindahan / MGA PAGBASA – HUWEBES, DISYEMBRE... - Daily Gospel Tagalog | Facebook"